定积分公式什么意思(怎样理解定积分)
今天来谈谈定积分。定积分的提出和面积有关。我们小学时就接触了面积的概念,也很容易理解正方形,长方形,三角形等图形的面积。

面积可以理解为平面图形占据平面“空间”的多少,就像一张照片包含像素点的多少一样。

将像素点(这里理解为一个个细小的正方形)的边长定义为单位长度,这样就理解了正方形的面积公式:边长的平方,即正方形中包含的像素点个数,从而平直规整的图形(长方形,三角形,梯形等)的面积都能理解了。
不过对于曲线包围的面积我们却不能直接计算。例如下面这个图形:

数学上把这种由直线x=a,x=b(a≠b),y=0和曲线y=f(x)所围成的图形称为曲边梯形。如何计算这种图形的面积呢?曲线图形面积的计算有个核心思想,就是“以直代曲”。具体来说就是当一段曲线上的两点充分接近时,此时这两点间的曲线可以近似看成直线。利用这种思想可以将曲线图形用许多细小的平直图形密铺逼近,然后再将面积求和,从而求得曲线图形的面积。最早采用这种思想的是古希腊的数学家阿基米德,他的方法称为“穷竭法”,阿基米德使用这种方法计算了抛物线弓形的面积。“穷竭法”是积分思想的萌芽。

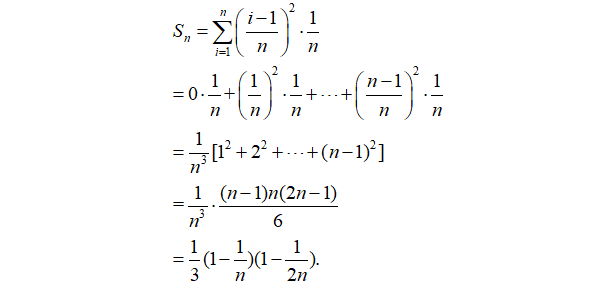
定积分采取了和穷竭法相似的手段,而高明之处就是定积分在穷竭法的基础上加入了系统的极限思想。总的路线都是将曲线图形用平直图形密铺逼近,然后将面积求和。这里举一个定积分的实际例子:求由抛物线f(x)=x²与直线x=1,y=0所围成的平面图形的面积S。

要求解这个曲边梯形的面积,我们可以将区间[0,1]分成许多小区间,把该曲边梯形拆分为许多小曲边梯形,每个小曲边梯形可近似看作矩形,用矩形的面积近似代替小曲边梯形的面积,得到每个小曲边梯形面积的近似值,对这些近似值求和,就得到曲边梯形面积的近似值。可以想象,随着拆分越来越细,近似程度就会越来越好。

我们可以按照以下步骤来具体实施:

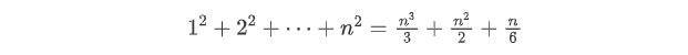
(3)求和:记所有小矩形的面积的和为Sn,则:

上式要用到正整数平方数列的求和公式:

(4)取极限:可以理解当n无穷大时,无限趋近曲边梯形的面积,从而有:

按照以上求解曲边梯形面积的过程,我们给出定积分的一般概念:

要了解定积分,我们还需要知道一个关于积分的法则:“微积分基本定理”(也叫做“牛顿—莱布尼茨公式”)。
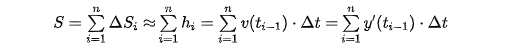
我们知道函数在某点处的导数,表示函数在该点处的瞬时变化率,即函数图象在该点处的切线斜率。在一作变速直线运动的物体的位移—时间图象(s-t图)中,某点处的切线斜率及该点处的导数值,也就是该点处位移对时间的瞬时变化率—瞬时速度。




由此可得物体的总位移

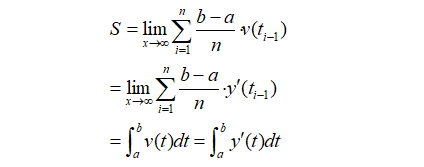
显然n越大,上式与的近似程度就越好,由定积分的定义有:


这就是大名鼎鼎的“微积分基本定理”(“牛顿—莱布尼茨公式”)。微积分基本定理,使得定积分的求解变得简便,求解定积分可化作求解相应函数的原函数在对应区间的函数值之差。
以上就是对定积分的介绍,它是数学上最重要的概念之一。定积分及它所对应的微积分思想的提出在数学上具有里程碑式的意义,毫不夸张地说微积分变革了整个数学世界!























