详解等腰三角形求面积(一题多解赏析)
在网上看到一道题,很有韵味。题目呈现如下图所示:

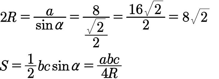
审题:题目直接给出顶角和底边,其实就给了一个隐藏条件,即告诉了这个三角形外接圆的直径。用正弦定理可以立即得到2R(R表示三角形外接圆半径)。
接下来的解题思路是求高或者求两腰。求高比较简单,求两腰需要用到正弦定理。求出两腰之后可以在很多的三角形面积公式中选择一个,就可以算出三角形面积。比如说:S=½bcsinα.
现在我们先计算三角形外接圆直径2R。请看正弦定理的公式:

根据以上公式计算直径,过程如下:

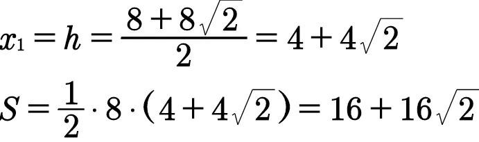
解法一
知道了三角形外接圆直径,就可以用求高的思路快速解题。请看下图:

直径是8√2,那么半径就是4√2。图片来自评论区,直接写出了答案。图中的点o是三角形外接圆的圆心,所以OA=OB=OC=4√2。BC是圆中弦,所对圆周角是所对圆心角的一半,因为角A=45°,所以∠BOC=90°。又因为三角形OBC是等腰直角三角形,所以三角形ABC的高h=4+4√2。
那么,答案就像水晶一样透明了。

解法二
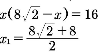
如果没有看出三角形的高,就要走弯路了。比如说用相交弦定理求高。
用d表示直径,h表示三角形的高,根据相交弦定理可得:
h(d-h)=4×4=16
现在知道d=8√2,求高也不难,解一元二次方程而已。过程如下:

设高为x,列一元二次方程,用求根公式计算,得高=x₁,再计算三角形面积:

解法三(求腰)
根据正弦定理求两腰很简单,但是需要计算sin67.5°,我们来计算一下:
回顾一下数学老师教的知识。sin45°=sin(180°-45°)=sin135°,
cos135°=-cos(180-135)°=-cos45°
而67.5×2=135,所以可以用半角公式计算sin67.5度,即sin67.5°=sin22.5°。思路油然而生,赶紧回忆一下数学老师教的半角公式:

现在我们开始计算sin67.5°,角α=135°,计算过程如下图所示:

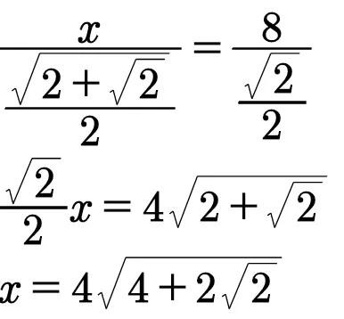
我们得到了sin67.5°的解析解,可以求两腰了,过程如下图所示:

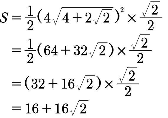
设三角形的两条腰为x,根据正弦定理列方程,解得腰AB=AC=x,现在可以用三角形正弦面积公式计算了。
可以选择的三角形面积公式太多了。比如,已经知道三边长,可以用海伦公式,又知道了三角形外接圆直径,可以用下面的公式,等等。

为了简化计算,可以选择α=45°,b和c对应两腰的三角形正弦面积公式。计算过程如下图所示:

解法四(辅助线)
这个解法的思路很巧妙,请看下图:

图片来自评论区。从点B向AC作垂线,构造出等腰直角三角形,设三角形的直角边为a,则斜边AB为√2a。用勾股定理算出a的值,就知道底边(√2a)和高(a)了,再用三角形面积公式就得到答案了。
其它解法
本题解法很多,再举个例子。从点A向底边BC作垂线,垂足是D.这时有两条路选择,求高还是求两腰?
求腰AB可以考虑下面的解法:
cosB=cos67.5°=4:AB
求高的话可以考虑下面的解法:
tanB=tan67.5°=AD:4
读者可以自己动手解题试试。
科学尚未普及,媒体还需努力。感谢阅读,再见。





















