高考满分作文的字体有多好看?阅卷老师看了不忍心扣分:太优秀
高考满分作文的字多好看?简直是“神仙字体”,老师:不忍心扣分
到目前,2020年的高考已经进入阅卷阶段,等到阅卷结束、统分上报之后,各位考生们的高考成绩也就真正出来了。现在各地的阅卷老师都在进行紧张的评卷工作,不知道看到这里各位考生现在心情怎么样,紧张还是期待?
其实现在高考阅卷是由电脑扫描答题卡原件,然后批阅其电子版。一般先是大区域扫描,分别扫描出答题卡的正面和答题卡的反面,保留两个扫描出来的电子版,然后再根据各位老师负责的批改任务,将不同的题型和相应的题目区域二次提取出来,分别输出成几个小模块。再随机分发给每个小模块所负责的老师们。就这样,每一个高考阅卷的老师,只会审阅到自己所负责的题目的答案,而不会看到考生在其他不由自己负责的题目的答题的情况。

在整个过程中,阅卷老师都是根据电脑扫描的内容进行评分。当然,如果不存在考生在答题时人为的卷面破坏,或者是墨水污渍、笔墨不清、答题不规范等这些情况时,电脑扫描是绝对没问题的。在这里向大家担保,大家尽可放心,电脑扫描是不会无缘无故出现扫描错误、扫描模糊和扫描遗漏这些问题!只不过考生所写的字体情况,经过扫描之后,会产生不同的效果。
也就是说,如果考生的字比较好看、字体的间距有美感的话,扫描出来的效果会更好。具体大家可以参考往年高考阅卷公布出来的那些满分作文,还有它们相应扫描出来的电子版原件,其中缘由就可以见到一二。小编我下面就给大家投放两张图,分别是两篇高考满分作文扫描出来的电子版原件,大家可以看一看卷面排版和文间距,和普通人答卷的差别真的是不言而喻,绝对是“神仙卷面”。

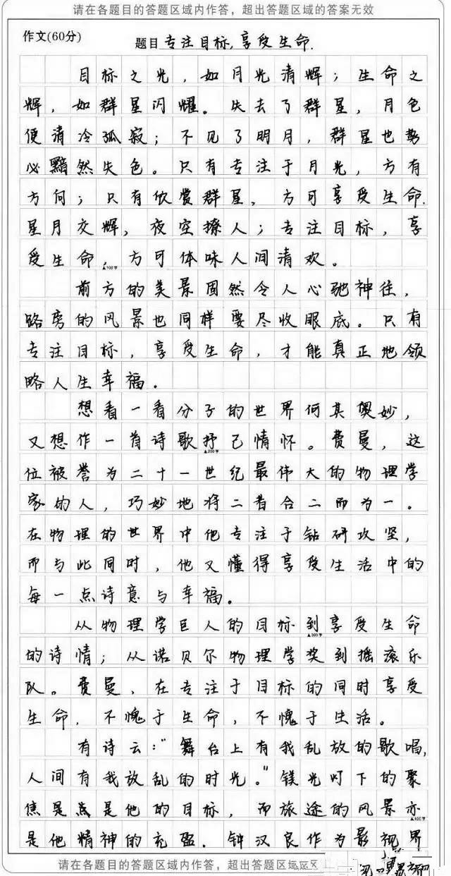
第一张图是某省公布的典范作文,也是高考满分作文。答题卡在电子扫描之后仍然无可挑剔,字体整洁大方,段落分配合理,结构紧凑完美,看起来非常的舒服。再加之,考生作文立意深远,文笔清新流畅,引经据典的同时抒发自己的真情实感,在砥砺之余还不忘写铿锵之声,这更是难得,能够获得满分,也是理所当然的事情。

下面这篇作文同样也是这种情况。字体清晰,笔锋初现,磅礴大气,给人一种风格独具的感觉。在观赏之余就自然而然地被作者带到了文字之中,待读完之后,诚然有“一苇以航”的心境了!试问碰上这样完美的答题卷,有哪个高考老师不被打动了呢?
像高考批阅作文的老师,他们需要长时间盯着电脑,眼睛特别容易感到疲惫。特别是在任务量大而且集中的阶段,他们一天基本上要完成几千份的工作量,哪里还有时间和耐心,一字一句地逐文批改?所以在这时候,能写得一手好字的、行文落落大方的、能让老师眼前一亮的,就是好文章!
我们都注重“第一印象”,这个道理放在主观题的批改上也一样。比如下面的这份语文答题卡,就集中了多方面的优点:

1 字体漂亮,收到阅卷老师隐藏的好感度。
2 条理清楚,不同的侧重点用不同的序号来标注。
3 分配合理,没有过于拥挤和排版不当的情况。
4 一目了然,书面整洁,阅卷没有难度。
抛除学生的答题技巧方面的因素,这份答题卷可以说是答题的模板。字数偏多但不累赘,重在条理。一目了然却不空洞,有理有据。
当然,这位学生的作文的表现也很优秀,大家可以看一下。

全部扫描出来就是这个样子,整体效果非常不错!涂改极少,也没有出现错别字,段落控制在五行之内,分段很多,但是衔接得很好,立意明确,主题清晰。
先不看考生的文学基础或者是文采方面的因素,这样的卷面本身就非常具有吸引力,只要考生在文章中添一些点睛之笔,得分会在优以上。如果考生文采偏差,只要不偏离文章主旨,保持行文通顺紧凑,也还是可以拿到不错的分数。

最后,我只想告诉大家:“字体是隐藏的规则”,好的卷面和字体就是一种优势!虽然阅卷老师不会因为考生的字写得好就多给一些分,但是阅卷老师都是有感情的,他们都会有个人的喜好。如果真的碰到一些字写得非常丑,卷面难以辨别的,老师也会感到烦恼,下意识地严格起来,那么考生得分在无形之中就少了。
所以,同学们还是要注意自己书写的问题,前提是可以看清楚,保证答题规范,不要出现太多的涂改和留白。这就要求同学们在平时的书写中,要养成好的习惯,这是对老师的尊重,也是对自己的负责!






















